Last updated: 2017-06-20
Code version: 177286a
In this case, we would like to try the objective function with penalty term.
I would like to modify the flash code in this document.
sim_K = function(K, N, P, SF, SL, signal,noise){
E = matrix(rnorm(N*P,0,noise),nrow=N)
Y = E
L_true = array(0, dim = c(N,K))
F_true = array(0, dim = c(P,K))
for(k in 1:K){
lstart = rnorm(N, 0, signal)
fstart = rnorm(P, 0, signal)
index = sample(seq(1:N),(N*SL))
lstart[index] = 0
index = sample(seq(1:P),(P*SF))
fstart[index] = 0
L_true[,k] = lstart
F_true[,k] = fstart
Y = Y + lstart %*% t(fstart)
}
return(list(Y = Y, L_true = L_true, F_true = F_true, Error = E))
}
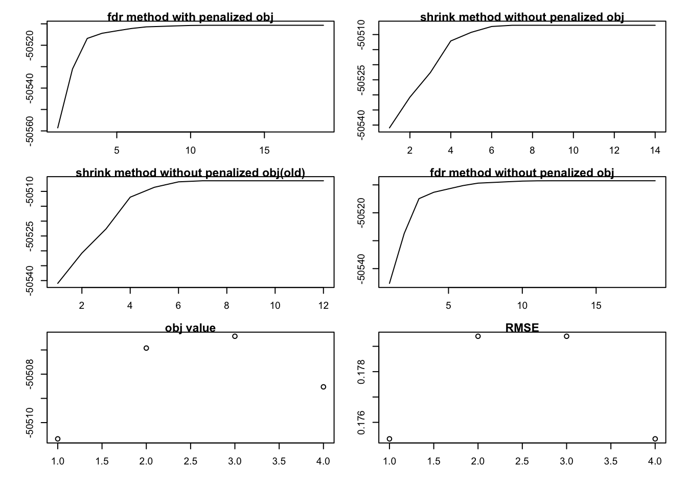
we check that the new objective function with penalty term does monotonically increase.
set.seed(99)
objcheck_1 = function(K=1,N = 20, P=30, SF = 0.5, SL = 0.6, signal = 1,noise = 1){
par(mfrow = c(3, 2))
par(cex = 0.6)
par(mar = c(3, 3, 0.8, 0.8), oma = c(1, 1, 1, 1))
data = sim_K(K,N, P, SF , SL , signal ,noise )
Y = data$Y
E = data$Error
g1 = flash(Y,objtype = "l")
plot(g1$obj_val_track,main = "fdr method with penalized obj",type = "l")
g2 = flash(Y,objtype = "l",ash_para = list(method = "shrink"))
plot(g2$obj_val_track,main = "shrink method without penalized obj",type = "l")
g3 = flashr::flash(Y,objtype = "l",ash_para = list(method = "shrink"))
plot(g3$obj_val_track,main = "shrink method without penalized obj(old)",type = "l")
g4 = flashr::flash(Y,objtype = "l")
plot(g4$obj_val_track,main = "fdr method without penalized obj",type = "l")
plot(c(g1$obj_val,g2$obj_val,g3$obj_val,g4$obj_val),main = "obj value")
RMSE = c(sqrt(mean((Y - g1$l %*% t(g1$f) -E)^2)) ,
sqrt(mean((Y - g2$l %*% t(g2$f) -E)^2)) ,
sqrt(mean((Y - g3$l %*% t(g3$f) -E)^2)) ,
sqrt(mean((Y - g4$l %*% t(g4$f) -E)^2)) )
plot(RMSE,main = "RMSE")
}
objcheck_1(K=1,N = 20, P=30, SF = 0.5, SL = 0.6, signal = 1,noise = 1)

objcheck_1(K=1,N = 200, P=300, SF = 0.8, SL = 0.6, signal = 1,noise = 1)

objcheck_1(K=1,N = 200, P=300, SF = 0.9, SL = 0.8, signal = 1,noise = 1)

objcheck_1(K=1,N = 200, P=300, SF = 0.5, SL = 0.9, signal = 1,noise = 3)

objcheck_1(K=1,N = 100, P=200, SF = 0.8, SL = 0.9, signal = 1,noise = 3)

we can see that the old version of code without penalty doesn’t have monotonically increasing objective function, but the new version code with penalty term does.
now we have two methods (fdr, shrink), and both of them have monotonically increasing corresponding objective function in each case.
we compare the old code with our new code, we can see that most of the cases a
shrink method without penalty
set.seed(99)
sim_rank0(K=1,N = 100, P=200, SF = 0.5, SL = 0.5, signal = 0,noise = 1,mtype = "shrink")

[1] 0.400 0.005 0.595
fdr method with penalty
set.seed(99)
sim_rank0(K=1,N = 100, P=200, SF = 0.5, SL = 0.5, signal = 0,noise = 1)

[1] 0.875 0.000 0.125
we can see the improvement that the proportion of P(estimated structure better than rank 0 structure) is much larger.
shrink method without penalty
set.seed(99)
sim_rank0(K=1,N = 100, P=200, SF = 0.8, SL = 0.8, signal = 1,noise = 2,mtype = "shrink")

[1] 0.100 0.455 0.445
fdr method with penalty
set.seed(99)
sim_rank0(K=1,N = 100, P=200, SF = 0.8, SL = 0.8, signal = 1,noise = 2)

[1] 0.280 0.415 0.305
we can see that the results are improved since the proportion of P(estimated structure better than rank 0 structure) is much larger.
In this case we can see that the RMSE is negative correlated with the objective function value. So it is make sense that we return \(g_l = 0, g_f = 0\) if the \(LB(estimated) < LB(g_l=0,g_f = 0)\).
sessionInfo()
R version 3.3.0 (2016-05-03)
Platform: x86_64-apple-darwin13.4.0 (64-bit)
Running under: OS X 10.12.4 (unknown)
locale:
[1] en_US.UTF-8/en_US.UTF-8/en_US.UTF-8/C/en_US.UTF-8/en_US.UTF-8
attached base packages:
[1] stats graphics grDevices utils datasets methods base
other attached packages:
[1] workflowr_0.4.0 rmarkdown_1.3
loaded via a namespace (and not attached):
[1] Rcpp_0.12.11 knitr_1.15.1 magrittr_1.5
[4] REBayes_0.73 MASS_7.3-45 munsell_0.4.3
[7] doParallel_1.0.10 pscl_1.4.9 colorspace_1.3-2
[10] SQUAREM_2016.8-2 lattice_0.20-34 foreach_1.4.3
[13] plyr_1.8.4 flashr_0.1.1 ashr_2.1-21
[16] stringr_1.2.0 tools_3.3.0 parallel_3.3.0
[19] grid_3.3.0 gtable_0.2.0 irlba_2.1.2
[22] git2r_0.18.0 htmltools_0.3.5 iterators_1.0.8
[25] lazyeval_0.2.0 assertthat_0.2.0 yaml_2.1.14
[28] rprojroot_1.2 digest_0.6.12 tibble_1.2
[31] Matrix_1.2-8 ggplot2_2.2.1 codetools_0.2-15
[34] evaluate_0.10 stringi_1.1.2 scales_0.4.1
[37] Rmosek_7.1.2 backports_1.0.5 truncnorm_1.0-7
This R Markdown site was created with workflowr